Time Travel
Time Travel
The Beginning of Time
Depending on what you believe, the Universe began with a bang or was summoned into existence by some great force, or perhaps both or neither. But it did have a beginning. How can I be so certain? Well, there are two very convincing arguments that leave little doubt that universe (at least the one we know) must have had a beginning. The first is a simple application of the Second Law of Thermodynamics, which states that entropy must always increase. Technically this means that the possible energy states that a system can occupy always increases. But a more simple explanation is that the total amount of disorder increases. If the universe is eternal and had no beginning then it has certainly had enough time (forever seems sufficiently long) to have reached a state of complete disorder. However, this is not the case. The universe is observed to have a great deal of order. Stars have structure, and they conglomerate into larger structures which we call galaxies. Galaxies cluster into more immense structures and there are even superclusters of galaxies observed in the universe. Additionally human beings are very ordered systems; in an eternal universe we could not live to ask these questions. Still not convinced? Then consider another simple argument. In an eternal and static universe every line of sight would end on the surface of a star. Every photon of light emitted in the universe would find its way to everywhere else in the universe, over the span of forever. This would make the night sky as bright as the surface of the sun. Again this is clearly not the case. Thus, the universe had a beginning. But did time also have a beginning? In the current cosmological view of the universe time and space are linked together in a continuum, the spacetime continuum. The spacetime of our universe is currently being observed to expand. This effect was first seen by Astronomer Edwin Hubble in the 1920's. No matter which direction one looks, one will see distant galaxies moving away from us and each other. The current theory of the universe's beginning is known as the Big Bang. If all of the galaxies are now moving apart from each other in a uniform way then at some point in the past they must have all been in the same place. The densities and energies of the moment of creation were so great that no current theory of physics can describe what the universe must have been like at that singular point, called a singularity for obvious reasons. An explosion started the universe in motion as long as 20 billion years ago. At that moment of creation the spacetime continuum began, consisting of the spatial dimensions and a temporal dimension. So it would seem that time also had a beginning.But what is time? Everyone talks about it, everyone feels that they can sense its passing, and there are also those who talk about traveling through it. We of course all travel through time at rate of 60 seconds per minute and 60 minutes per hour and 24 hours per day and 365 days per year. What I am speaking of is the kind of travel that has only been a realm of science fiction for over 100 years, but in the last 10 years has become a theoretical possibilty. I mean traveling to the past to see events long gone or jumping to the distant future to see the progress of humanity. Who hasn't thought of returning to the past to relive a sweet moment or jumping ahead to learn what the outcome of an important decision might be? Until recently that was only possible in the imagination. Now it seems that modern physics holds yet more surprises. I hope to lead the reader through a discussion of the nature of time and space and then to show the physics involved in creating a time machine. Then I shall discuss the rather outrageous consequences that time travel holds for the nature of the universe. At the end we may be lost in a whirl of paradoxes, equations, and parallel universes, but the journey should be fun.
What is Time?
Time is a very curious thing. Ask anyone on the street if they know what time is, they are sure to answer positively. But then ask them to explain it to you and they will most certainly be at a loss. People often talk about time with a negative connotation, because in some way it is linked to our own mortality. A favorite quote of mine about time is from the science fiction movie Star Trek: Generations (Indeed many science fiction stories often turn a good phrase about time)When it first became important for people to measure time they didn't have fancy wrist watches made in Switzerland. They needed to know when the winter was coming or when they could harvest fruit. For this they used the regular cycles of their environment. It was known to them that the Sun rises and sets in a regular and predictable manner. It was also known that the Moon, Stars, and Planets have cyclic motion through the heavens. They kept track of the passing of a day with sundials and the like. With this knowledge, the ancient peoples of Earth could predict the coming of the different seasons. There were many ancient peoples that devised very accurate calendars to keep track of time. The megalithic stones of Stonehenge in Great Britain are an example of such a calendar. The Mayans of Central America had a calendar based on the sidereal year that was at least as accurate as the calendars of today. Of course, these early measurements of time were based on the periodic motion of the Earth about its rotation axis and around the Sun. It is now known that these motions are not constant but vary in time. As history progressed methods of measuring time's passage became more focused on very regular oscillations of such things as springs and pendulums. Today official time is measured by atomic oscillations of cesium to an accuracy of parts per billion.
Does Time Really Exist?
What is it that clocks are measuring? They seem to measure some unseen medium that continues on at a constant and unyielding pace. Time is often thought of as a river that flows in one direction and slows for no one, it sweeps us along with it. Is there any evidence that it is really there or is it much like the ether that was once thought to permeate the universe. Certainly we experience time's passing. People are born, live, and die and feel as though they are constantly being pushed or dragged by this unseen phenomenon. Therefore, time must exist, right? Perhaps. But consider that time is something that we perceive through our senses, which are not perfect. Is it possible that how we think about time is related to how our brains processes information?In Book XI of Confessions of St. Augustine the illustrious St. Augustine discusses the nature of time and how God and free will fit in. I do not want to discuss theological implications of time here, though there is much that could be said on the matter. However, some of his thoughts on time are very insightful and I will attempt to explain them. First, let us consider how people often speak of time periods as having duration. For instance I might say I believed a road trip to take a very long time. But how is it that I can justify saying that a past or future time is long. I might say that a past time was long or a future time will be long. However, if the past is no more and the future is yet to occur then how could its duration be measured? Indeed, if the past no longer exists and the future is yet to exist then all that remains is the present. But the present has no duration. One can divide any period of time into a past and future, from millenia to picoseconds. The present is nothing more than a fleeting moment through which the future passes to become the past. So we are left with quite a conundrum, the past and future do not exist and the present has no duration, how can time be measured.
St. Augustine proposed that time is measured in the mind. It is not an event itself that is measured but the impression that it leaves on the mind. The mind expects the future, which becomes the present, which the mind attends, and then becomes the past, which the mind remembers. The future and past do not exist, but in the mind there is expectation of the future and remembrance of the past. The present has no duration and still the mind's attention persists. So it is not the future which is long but a long expectation of the future. Likewise, it is not the past that was long but a long remembrance of the past. St. Augustine ended his discussion of time with the conclusion that it is something measured in the mind, a human conception. This is all the further one can go based on logic alone. So let us now turn to the realm of physics and discover what might be learned about the nature of time there.
Newton's Universal Time
Sir Isaac Newton was, for all intents and purposes, the inventor of modern physical theory. His ideas about motion and force for the most part still have great validity. There have been only corrections to his theory since it inception but nothing has ever replaced it. Newton thought of time as an ever flowing stream that was constant and immutable. In his theory time was always the same for any observer in any reference frame. This was the belief held by physicists in general for several hundred years. The mathematics used to describe how an event is observed in one inertial reference frame to another frame that is moving with some constant speed relative to the original is called the Galilean Transformation. For simplicity the two frames are usually aligned so that the direction of motion of the moving frame is along only one spatial axis. Also the frames must have their origins aligned at time equal to zero. The two frames are often referred to S, the stationary frame, and S' the frame moving at constant velocity v relative to S along the x-axis. The Transformation is then simply
_______
In the end of the 19th and beginning of the 20th centuries there was a change developing in the way that time was viewed in physics. The development of the equations of electro-magnetics by James Maxwell lead others to investigate their consequences. Among those was non other than Albert Einstein. Albert Einstein developed first a special theory of relativity, in 1905, that showed how light waves behaved in different reference frames. Later he developed a general theory of relativity that explains gravity and the geometry of the universe. In both of these theories time is no longer immutable. Indeed, different observers in relative frames measure different times. As the theories gained more experimental verification the old ideas about the nature of time crumbled away. Only days before his death Einstein was quoted as saying
One of the consequences of Maxwell's equations of electro-magnetics is that the speed of a light wave is independent of the reference frame it is observed in. This is in direct violation of the Galilean Transformation rules. In the Galilean system if an observer in frame S', moving with velocity v, sends out a light signal, with velocity c, in the direction of travel then the velocity of the light wave as measured by a stationary observer in frame S, c', is c' = v + c. But that is not what Maxwell's equations say. They say that the velocity of light is c no matter what the frame observed in. So observers in S and S' measure c for the velocity of the same light wave. This is where the breakdown begins. This effect has now been measured in laboratories and has been confirmed the world over. The velocity of light is c (300,000,000 m/s) in every reference frame. This is one of the foundations of the theory of special relativity.
Another foundation of the theory of relativity is a postulate that states that the laws of physics are invariant in all inertial reference frames. This is the postulate that lead to the discovery of a mathematical transformation to replace the Galilean Transformation. The transformation is named the Lorentz Transformation after the mathematician Hendrick Lorentz who developed it. He developed the transformation 2 years before Einstein did but by different means than Einstein. Lorentz was searching for a transformation that would keep Maxwell's equations invariant. The transformation is
Einstein recognized the physical significance of this transformation and thus formulated the special theory. The transformations now show that time is not the immutable dimension we thought it was. Later I will discuss the time travel opportunities present in this theory. However, it is important to note that in the Lorentz transformation there seems to be a mixture of space and time coordinates. It was at this point that people began to realize that time and space were not the separate entities that they appeared to be. They are somehow bound together in a 4-dimensional spacetime continuum.
Before I move on to time in General Relativity it will be useful for me to digress into some mathematical formalism that will be useful in our later discussions of spacetime warps. In relativity it is useful to talk about metrics that describe the geometry of spacetime. Often we wish to find a metric that can describe the behavior of spacetime in a specific region. By metric, I mean an equation that is written by computing the distance element of a spacetime in terms of the coordinate system being used. For example, in a 2-dimensional flat space with Cartesian coordinates, x and y, the the distance, Delta s, can be found by forming a right triangle and applying the Pythagorean theorem
General Relativity was formulated by Einstein in 1915. There are four basic principles that it is founded on:
- Freely falling frames move on geodesics (force free frames travel the shortest route through spacetime)
- Principle of Equivalence (inertial mass = gravitational mass)
- Principle of General Covariance (use tensors which are mathematical objects that are invariant under transformation)
- Einstein's Field Equations: (Spacetime Curvature = Matter Content)
The most important of these principles to our discussion is (4). It states that the shape, and thereby the metric equation, of spacetime is determined by matter content of the spacetime. Simply put, matter warps spacetime through its gravity. This can be visualized in what is known as an embedding diagram (figure 1). In the diagram the four dimensions of spacetime are reduced to a two dimensional sheet. If you imagine this sheet as being made of rubber and stretched taut then any mass, say a marble, placed on the sheet will warp it. This warping effect will cause gravity to bend and focus light like a lens. This effect has been observed during solar eclipses. When the sun's photosphere is blocked by the moon, background stars are visible. The stars' apparent positions are shifted near the sun from their positions when the sun is not in the field. There have been many experimental verifications of general relativity over the past 70 years and the theory is now generally accepted. This is very promising for us aspiring time travelers as not only will general relativity allow us to visit the future but we may also be able to journey to the past.
We have seen that velocity and gravity warp spacetime in ways that cause time to be relative to the observer measuring it. Let us now investigate the various modes by which time travel can be accomplished and what consequences that has for the nature of the universe.
Traveling to the Future
Travel to the future is a relatively easy process, at least compared to backwards time travel. We shall see that the most basic results of special and general relativity will allow us to make a trek to the future. But beware, before we set off to see our grandchildren and great-grandchildren we should be aware that getting back to our own time is not an easy affair and may not be possible at all.
Very Fast Speeds
If you recall, special relativity had an expression for the relationship between proper time, Tau, and the coordinate time, t. Let us now examine that relation.
Very Strong Gravity
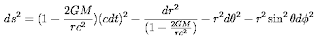
There is another relatively easy way to journey to the future utilizing general relativity. If you recall, we saw that the spacetime metric equation was dependent on the matter content in that spacetime region. The German physicist Karl Schwarzschild was the first to work out a solution for the spacetime surrounding a static spherical mass. This is the metric he derived, and it bears his name.
Backwards time travel is theoretically possible by several different methods using general relativity. However, each of these methods has its own peculiar problems that could destroy the time machine before it has a chance to operate. Perhaps we can find one time machine among the lot which holds the most promise of taking us to the past.
Black Holes
As I mentioned before a black hole is an object that has all of its mass within its Schwarzschild radius. For densities that high the gravitational force overwhelms degenerate electron and degenerate neutron pressures. Beyond this there are no known pressures that could support the matter against the force of gravity. Gravity crushes all of the mass into a point, called a singularity, of infinite density. The spacetime curvature inside the Schwarzschild radius is infinite (see figure 2).
Schwarzschild's Black Hole
The Schwarzschild metric is for spherical, non-rotating, static mass distributions. A black hole is believed to be a possible end point in the life of a very massive star. All stars that are observed in our universe are observed to be rotating, and that rotation tends to cause their shape to deviate from spherical. So the Schwarzschild black hole is not an object that would tend to occur in nature. If we assume that a very advanced society is capable of constructing one could it be used for a time machine? Probably not. Consider a would-be black hole explorer, Chris. We decide to watch Chris enter the black hole from a fair distance. As Chris gets closer to the black hole the gravitational field becomes quite intense. We observe the clock that Chris holds by light signals that it emits and see that it appears to run slower and slower. Eventually, the gravitational differential from head toe becomes so great that it should literally pull Chris apart. That's if the black hole mass is small, say 1 solar mass. Paradoxically, supermassive black holes would have much less intense tidal forces near the event horizon. But we will assume that we are sufficiently advanced such that we can build a space suit capable of withstanding the tidal forces and keeping Chris alive through this adventure. Because of the time dilation effects at a black hole's surface light waves will appear to change color, they will be red-shifted. The light from Chris' clock will shift out of the visual wavelengths into the infrared and then into the radio and eventually out of our detection ability. We can no longer observe the adventure. It is just as well, because if we could detect Chris all the way to the event horizon we would have to watch forever (I don't think I'll live that long). Time dilates to infinity at the event horizon, as seen by an observer from an infinite distance. So to continue the narrative we must move to Chris' frame. Upon crossing the event horizon we will notice nothing special whatsoever. But we can no longer turn back. Now our folly is fully realized. We see the singularity and realize that if the black hole does deposit material somewhere else in spacetime it must pass through it and that will undoubtedly be fatal. This is where our story must end. If only it had been a rotating black hole.
Kerr's Black Hole
If the black hole that we followed Chris into had been a rotating black hole then it would have been described not by the Schwarzschild metric but instead by the Kerr metric. I will not clutter the page with its mathematical form because it would take far too much explaining to get to a simple result. The critical change that occurs in the black hole, besides its shape and number of surfaces to pass through, is that now the singularity can be avoided. Some think that black holes may dump their matter into another spacetime region through objects called white holes. They would be the exact opposite of black holes. Instead of having an event horizon there would be an anti-event horizon through which matter can only leave but never enter. Black holes have never been directly observed, as that would be all but impossible. There is observational evidence for their existence by their gravitational influences on nearby objects. However, no one has ever observed an object that could be a white hole, so their existence must be called into question. If they do exist it is possible that they do not empty into our universe but rather into another universe altogether. There are still some problems with this time-machine. If a white hole did exist the anti-event horizon would be very unstable. A single photon of light that fell upon it would grow more blue-shifted and gain so much energy that it would convert the anti-event horizon into a regular event horizon within a fraction of a second of the white hole's creation. This would trap us inside yet another event horizon before we ever had a chance to escape through the white hole. There are additional arguments to show that a black hole would not be traversable. But I think it has become obvious that black holes are a lost cause as far a making time machines is concerned.
Other Time Machines
There have been other time travel mechanisms that have been conceived that allow backward time travel. But in most cases there is a physical reason that these objects would be excluded from existence in our universe. For instance there are schemes where we have a spinning universe, known as Gödel's Universe, after Kurt Gödel who first conceived of it. In this scheme closed time-like curves would exist where you could travel in a circle in spacetime and return to a point in spacetime that you have already been, thereby meeting yourself. However our universe is not believed to be spinning so this situation is considered unphysical. There is a new time travel scheme put forward by J.R. Gott where one could build a time machine by moving two cosmic strings parallel and relative to one another. Cosmic strings are theoretical remnants of the Big Bang which would be extremely long and thin and have nearly infinite density. Almost like a line singularity. The relative motion of the two strings and the geometry of spacetime about them would allow for closed time-like curves. Unfortunately, Stephen Hawking showed that unless gigantic amounts of matter having negative energy were used to surround this system it would become a black hole. So our search for a time machine continues.
Wormholes
Is there any hope of our building a time machine that the universe won't destroy before we can use it to travel back in time? Yes, there is hope in the form of wormholes. Theories of wormholes predate black holes. Within a year of Einstein's final publishing of the general theory of relativity physicist Ludwig Flamm recognized that Schwarzschild`s solution represented a wormhole. A wormhole is a tunnel through hyperspace to another region of spacetime in our universe or perhaps another (see figure 3). The wormhole consists of two mouths that are spherically symmetric and a throat that has a maximum radius equal to its Schwarzschild radius. There are two kinds of wormholes, those that will be useful to us aspiring time travelers and those that will not.
If Schwarzschild wormholes exist in nature they are not likely to be very useful to us as time machines or means of rapid interstellar travel. Firstly, the wormhole would have tidal forces in the throat that are comparable to those at the event horizon of a Schwarzschild black hole. Theses forces would be fatal to us. Secondly the wormhole is not static, it evolves with time. It begins as two disconnected spacetimes with a throat radius of zero. The throat radius then expands to some maximum and the spacetimes meet. The radius then begins to contract and the spacetimes disconnect once again. This expansion and recontraction is so rapid that even traveling at the speed of light would not see us through before we were caught by the crunch of the tidal forces during recontraction, which would certainly annihilate us. Lastly, Schwarzschild wormholes possess anti-event horizons which would be unstable to perturbations just as those in white holes. This would hasten the recontraction phase of the wormhole's evolution making travel through it that much more impossible. So Schwarzschild wormholes are not of any use to us, but there are solutions to the Einstein field equations that are.
Traversable Wormholes
Professor Kip Thorne, of the California Institute of Technology, was stimulated, in the summer of 1985, to search for alternate wormhole solutions that would allow safe passage for interstellar travelers. His motivation was a request for help from his friend and colleague, Carl Sagan. Professor Sagan was writing a science fiction story (The novel was entitled Contact which has been made into a motion picture staring Jodi Foster as the heroine) in which his heroine needed to cross a great interstellar distance in a very short time, namely the distance between Earth and the star Vega (see figure 3). Professor Thorne was only too happy to oblige. He found a solution which was so simple that he was surprised no one had found it before. The solution has the following metric equation.
The Time Machine
With the idea of a traversable wormhole now established as a possibility, given the existence of exotic matter, there now exists the possibility of creating a time machine. In his book, Black Holes and Time Warps, Kip Thorne explains how he and his wife can conspire to make a time machine from a single wormhole. He first asks us to assume that we are a sufficiently advanced society such that we can create and manipulate wormholes. Or at least that such a society exists and has made us such a wormhole. This established, he then assumes that he has a small wormhole through hyperspace with a tunnel of say half-a-meter in length. He has both mouths of the wormhole in his living room and time is connected through the wormhole such that if he sticks his hand in one mouth it will instantly appear coming out of the other mouth across the room. His wife, Carolee, now takes one mouth with her into the family space ship and Kip remains in the living room with the other mouth. They hold hands through the wormhole (see figure 6) and Carolee takes off with the space ship. She accelerates to relativistic speeds and goes off into space for 6 hours. All the while she and Kip can look through the wormhole and see each other. After 6 hours she turns the ship around and heads back to Earth which takes another 6 hours. After 12 hours have passed Kip will look through the wormhole still holding hands with Carolee and see that she has landed and is now out in the front yard. So he will let go and start toward the door to go out and greet her when he notices that she is not out there yet. The relativistic speeds and accelerations that she has encountered have dilated her time so that in Kip's view she is still out in space on her journey holding hands with him. So Kip waits for her arrival...he waits 10 years. When she finally arrives he goes out to greet her. He opens the door of the craft and finds her not having aged more than 12 hours since her departure with her hand still in the wormhole. He looks into the wormhole and sees himself 10 years ago holding hands with Carolee. The wormhole is now a time machine! Kip can step through the wormhole and go back as far as 10 years, to the creation of the time machine but not any earlier. The Kip on the other end can also step through the wormhole and come forward 10 years. H.G. Wells eat your heart out!
When Kip Thorne first realized that such a situation was possible he wondered if some physical process could destroy his wormhole before it became a time machine. The first thing to occur to him was that when the wormhole became a time machine electro-magnetic waves could propagate through it and interfere with themselves. They could interfere in such a way as to cause constructive interference and thereby strengthen their amplitude. This could continue until there was a beam of radiation between the two mouths of the wormhole that was powerful enough to destroy it. But alas the time machine is saved by that strange exotic matter. As was mentioned before, the tension inside the wormhole would defocus any electro-magnetic waves passing through it (Figure 4). It turns out that this defocusing is just enough so as to stop the radiation beam from getting strong enough to destroy the time machine. However there is another effect that could have the strength to destroy it. That is the electro-magnetic vacuum fluctuations. These fluctuations are quantum mechanical in nature and have behavior such that they could pile up on themselves in a similar manner as described with the E-M waves. They would be defocused by the wormhole but their quantum mechanical nature could allow them to refocus and continue their pile up. Whether or not they could reach a strength great enough to destroy the wormhole is a matter of quantum gravity for which as yet there is no theory to describe. Thus there does remain doubt that the time machine can be constructed and used before it destroys itself. Only time will tell.
It seems that time travel may be a real possibility, given that there exits exotic matter and a wormhole can be constructed. But there is another rather compelling reason that many people do not believe that time travel is possible. If time travel were possible paradoxes would be allowed to exist and that most cherished notion of causality could be violated. Some have speculated that the universe may have a law that prevents causality violation or paradox. Some, however, believe that maybe we cannot travel to our own past and cause paradox but we can travel to the past of a parallel universe.
Causality and Paradox
The idea of causality is that a cause must always precede its effect. This seems logical. But time travel would allow someone to travel back in time to a point before they were born. How can someone live before they were born? This point seems subtle but I do not think that it is a strong argument. If I can go back in time to meet a younger version of myself, why can't I go back before I even existed. The laws of physics do not state anywhere that moving at different rates in time should affect my biology in any way. In fact, from a relativistic point of view, it is perfectly valid for me to seem to experience the normal flow of time while the outside world changes. Even though I may step through a wormhole that has its other mouth 33 years in the past I should still remain the same age that I am when I step through the wormhole. I would then appear in the past, a person of approximately 23 years old. There is no physical reason why I could not live 10 years before I was born. The real trouble happens if I do something to prevent my time travel in the future, which is my past.
There are some rather standard time travel paradoxes that are often presented. They usually involve the killing of an ancestor in the past in order to prevent the time traveler's own birth. However, I find no reason to be so morbid. There are many mind bending scenarios that can be invoked to illustrate the problem of paradox. Let us imagine that I have discovered a wormhole time machine created by some ancient race of spacetime explorers and can travel to the past and back to the present. Now suppose that I decide that I want to change history. I want to go back to Dallas, Texas on November 22, 1963 and prevent President Kennedy from being assassinated. I go back in time and I manage to warn the proper authorities of the danger to the President. They catch Lee Harvey Oswald and any conspirators before they are able to accomplish their deadly mission. I am successful and the assassination is averted. Now all of the history books change. When I go to school and take history there will be no mention of the assassination of President Kennedy, because it never happened. That being the case, when I find my time machine and decide to step back in time and change history I will not go back to prevent his murder. Since I do not go back to stop the assassination it will occur again, and by now the paradox is obvious. So while I may have started off with good intentions, saving a life, I end up creating an irreconcilable paradox. Are there any ways out of this paradox or have I doomed the spacetime continuum to destruction?
Chronology Protection Conjecture
There are those who believe that because of paradoxes time travel is impossible. Dr. Stephen Hawking of Cambridge found himself amongst those people. In fact, he formulated what he called the Chronology Protection Conjecture. It simply states that the universe will protect itself from time paradox by not allowing time machines to be made. The way the universe would accomplish this is through a variety of means. For instance, the universe might stop Kip Thorne and his wife from making a time machine out of a wormhole by destroying the wormhole with electro-magnetic vacuum fluctuations that feed back on themselves through the wormhole. Makers of cosmic string time machines would be cut-off from their time machines before they could use them by singularities or horizons. It seems to me that this conjecture is rather contrived. In the known physical cases of Closed Timelike Curves there are problems with horizons and singularities, but that does not necessarily mean that no time machine can ever be invented. It should be noted that Stephen Hawking has since changed his mind and decided that Kip Thorne's wormhole time machine might be possible if parallel universes exist.
There is another possibility when it comes to the universe protecting itself from paradox and it is nothing less than predestination. Consider the story of a woman who grew up in a time of war. As a young girl she was trained as a soldier and fought in many battles. In one particular battle she was injured by a gunshot to the shoulder. This forever caused her to have bad aim. One day in the future she joins a militant group that believes that the ideals of the past were wrong and they must return to the past to try and change the outcome of an important battle. The battle does not seem to go well for the future soldiers fighting the past soldiers. No matter what they do they cannot gain an advantage, and they retreat. As the woman is retreating she sees a young girl taking aim at the leader of her group. She fires at the girl hoping to hit her square in the head, but she misses. She strikes the young girl in the shoulder instead. It is then that she realizes that the young girl was her. Had she fired true she would have killed herself and created a paradox, but she could not fire true for she had bad aim due to the injury that she received from herself. In this scenario there is no paradox, but there is a disturbing ring of predestiny. The future caused the past. In fact the past required that the future already exist in order to avoid paradox.
Kip Thorne and his student, Michael Morris wished to study how paradoxes might be averted by a thought experiment whereby one has a short wormhole that is a time machine. Its two mouths are maybe only 1 foot apart in space and have a time difference of only seconds. The experiment strives to find scenarios for a billiard ball entering one mouth and travel backward in time to exit the other mouth and smack itself before entering the first mouth. There were only a handful of solutions that did not create a paradox. All of them involved the ball hitting itself in such a way as to have caused the collision in the past. My favorite of these solutions is one where the ball travels straight between the two mouths. Just before passing them by it is suddenly struck from the side by a billiard ball emerging from the left mouth. This alters its trajectory so that it now enters the right mouth and travels back just in time to emerge from the left mouth and smack into itself thereby causing the earlier version to enter the other mouth. This scenario has neither paradox nor causality violation. In fact, the effect was its own cause. The future had to have existed already for the past to take the form that it did. There is another line from a Star Trek: The Next Generation episode (Time's Arrow) that involves such a scenario, where the Android, Data, remarks about the finding of his head in an abandoned mine where it has apparently been for 400 years. It seems that at some future point he will travel to the past where he will die. Of this he says
Parallel or Alternate Timelines
Now we come to the solution of the paradox problem that quantum mechanics predicts, parallel universes. In the quantum universe everything is probabilistic. The occurrence of an event is ruled by the probability of its happening. In quantum mechanics a particle has no definite position, energy, momentum or time. The Heisenberg Uncertainty principle,
Now let us look at one of our paradoxical time travel situations and see how parallel universes save the day. Let us return to the Kennedy assassination. Again I have found a time machine and decide to go back in time and stop the assassination from occurring. Once again I am successful in stopping it. Now I would like to return to my own time and witness the changes that have occurred. But I have just created a parallel universe. One which was identical to my own up until the moment that I arrived in the past. Until that moment the universes were one. But in my universe there was no me in 1963, so the act of placing myself in that time has already created a new universe that will undoubtedly be different. In this new universe I go forward in time, perhaps through special relativistic effects and find a future very different from the one I knew. I might also find another me, the one that was born in this universe in 1973. We would be different people as we have experienced different lives. But what if instead of going forward in time through relativistic effects I simply decided to step back through my wormhole, what would I find? I would find that nothing has changed. Kennedy is still dead and there is no other me, because the past I visited is not in this universe. When I stepped through the wormhole I disappeared from this universe into another. It is easy to see that If I were not careful I could get lost in parallel universes and never find my way back. Consider the scenario where I travel to the future of the new universe and meet my doppleganger. What if I don't like this universe at all, what if saving Kennedy leads to a nuclear war, can I go back to my original universe? No. I am now in another universe and I find a wormhole time machine with my counterpart. We decide to set it for November 22, 1963 and change things once again. But once again we create another parallel universe, this time there are 3 versions of me in 1963 and we all have different agendas.
If parallel universes are real and some advanced society can create a stable wormhole and turn it into a time machine then time travel is certainly possible. The journeys that one could have in time would be quite an experience, to say the least.
The End of Time
As our journey through time and space and other universes comes to a close let us reflect on what we have discovered. We asked what was the nature of time and whether or not it actually existed. Through logical argument we came to a conclusion that time was only something measured in the mind of us humans. But we also saw that time can be viewed as a physical dimension belonging to a spacetime continuum. Its reality seems quite firm in that sense. Experiment verifies the theories of relativity showing that time is not a universal constant but is relative to an observer. From logic we deduced that the past and future do not exist. But we discovered that it might be possible to travel in time. If we can visit the past or the future they must exist. Also if time travel is possible then it is likely that there are an infinite amount of universes that we can travel to preventing us from creating paradoxes. We also saw that there are closed solutions to paradoxes that require that the past and the future mutually coexist and cause one another. It is a dizzying array of possibilities to assimilate. Perhaps there really is no time and the dimension we call time is some parameter that depends upon our perceptions of it. Or perhaps time exists, but in a multidimensional continuum that our finite minds experience one event at a time. It's really a question of metaphysics, but cosmology was once a metaphysical study. As more knowledge was gained it became the science it is today, seeking to understand how the universe began and how it will end. Current evidence suggests that the universe began with a bang, but its fate remains unknown. Will time have an end? Maybe we should travel to the future and find out, that is if you are up for the trip. Let's meet...yesterday!

















I'm curious to find out what blog system you are working with?
ReplyDeleteI'm experiencing some minor security issues with my latest website and I'd like to find something more secure.
Do you have any suggestions?
My blog ... auto accident attorney tampa